Mood Brightener: ...more from Stay Homas. (Confination X)
Your Conceptual Goals for this section: Know when you're safe!
E Field is like "Slope" which is a spatial derivative:
On a topo map you can identify the direction of the slope of the hill because it's perpendicular to the topo line. Same is true for equipotentials and the E field. We also have the sense that the closer together the lines are (assuming equal potential difference betweeen the lines) the more intense the E field (greater the slope).
Stepping back to some previous stuff...
ΔVAB = WAB/q = [F Δx]/q = [qE] Δx/q = E Δx
which means
ΔVAB = EΔx
and that can be rearranged to give
E = ΔV/Δx
which is a derivative in space rather than time.
Consider this map of potentials --- sketch the equipotentials and then determine the E fields at A,B, and C. The size of the grid is 4 cm between points
Now... this has been a very quick flash through the 'derivation' and I have made simplifying assumptions about the electric force being constant and in the same direction as Δx but I trust that you understand that exactly those assumptions will always be valid if I ask the question over a short enough distance (the calculus assumption).
Another Way of Thinking of the Slope on a Hill:
The next step along this path will be easier to understand (perhaps) is you take the following description and go out onto a hillside and experiment in different places. Imagine you are standing on a hill that slopes down and to the west. If are standing at that point an you lay a meter stick in the North - South direction is should be flat (no slope) and have some well defined slope if you put it on the ground in the East-West direction. Now move to some place where the slope is either towards the Southwest. Now when you lay your meter stick on the ground in the N-S direction it will have a slope and it will also have a slope in the E-W direction. Can you visulize the vector addition of those two slopes? If they are both the same then the hillside must 'point' exactly SW. If the N-S slope is bigger then the hill 'points' more south etc etc. This is not too hard to explain if I have you with me on a slope but it's a mess with words. I will try to make a video to help with this. [note: I looked for an existing one and nothing takes the perspective that aligns with this discussion in spite of many physics teachers using this as a model. Guess I'll have to make it myself]
dV/dx leads to E leads to ∇ (gradient operator):
[just as a weird aside I discovered that this symbol is called a(?) nabla (greek for harp) - never knew that]



Now that makes perfect sense right?
Notice that this also means that E can be measured in V/m as well as N/C!! 1 V/m = 1 N/C -- slightly confusing.
Dielectric Strength:
So what if we now place a material which is NOT a conductor in an E field and slowly dial the E field up to greater and greater strength? Think about the forces on the + and - charges within a given atom. Does it seem plausible that eventually the E field forces seeking to pull the atom apart might exceed the atoms ability to hold itself together? What do you imagine happens at that point?
We call this dielectric failure and the strength of the E field that causes the material to become at least partially conducting is called the Dielectric Strength.

Here's a table of dielectric strengths for various materials. One to know for sure is Emax for air = 3 MV/m.
Maximum charge on a sphere:
Why is there a maximum charge you can put on a sphere? How do you determine the E field at the surface of a sphere? What is the maximum charge you can put on a 15 cm diameter sphere?
1.88 μC
What is the electric potential ('voltage') of that sphere?
225 kV
What happens as the size of the sphere gets smaller? How might this explain that sharp points on charged objects start 'leaking' charge first?
Here is a video looking at lightning (also see the video below) as well as looking at the movement of charge from the sphere of a Van de Graff generator that is about the size we have been discussing.
Consider a charge of 1 C. How small a sphere could it occupy in space without starting a lightning bolt?
55 m
Here's a very high speed video of lightning makin it's way down from the cloud in short feelers. At each stopping point the charge gathers closer to the earth and causes the air to fail again in some random direction. The path it leaves behind is a conduction channel through the air. When the charge finds it's way to the ground the return strike follows the primary path back up to the cloud carrying much more charge (hence the increased brightness).
How safe are you when you put your finger up against an outlet (blade is 3 mm inside the outlet)?
Am I safe if I wrap a single piece of paper around a screwdriver and stick it in an outlet? What is the maximum safe voltage?
What is the point of a lightning rod? Do you know what it is?
Electric Discharge:
When the air or another dielectric breaks down it is not a uniform process. There are little breakdowns sort of continuously and it makes a sizzling sound not unlike bacon frying (without the smell). Here is an example -- the best I could find for now.
My point is that such a sound is an indicator that the E field in that area is approaching its maximum and charge is starting to leak. If you are working on a roof when you hear this get off the dang roof and then ask questions. If you're standing under a tree waiting out a storm and you hear this it's an indication that the tree is ready to be a lightning rod. If you are hiking along a rocky ridge with T-storms in the distance and you hear this sound near the rocks it's time to get off the ridge.
Differentiation of potential field to get E:
Follow the integration frame to get the potential field as a function of space (x,y, and z depending on the setting). Then take (partial) derivatives along each direction to determine the E field in that direction. dV/dx = Ex and so forth.
Assignment Breadcrumb Reading: Bb Test
Dielectric Strength:
I hope that everyone has shuffled across a rug and shocked a parent or a sibling some time in their life. To make this happen the E field between your finger and the 'victim' must be equal to the dielectric strength of air. Given that the dielectric strength of air is 3 MV/m what is the voltage difference between you and your 'victim' if the spark is 3 mm in length?
Before Next Class:
Assignment HW: Bb Test
Maxmum Potential:
A metal ball with radius 15 cm is attached by a thin wire to another distance metal ball with radius 3 cm. What is the maximum potential of this system in a normal earth atmosphere? What is the maximum charge on the each ball. One characteristic of conductors we talked about is that once the movement of charges has stabalized they must be equipotentials -- what does that have to do with this problem though?
Assignment HW: Bb Test
Field in the Ionosphere:
Shown below is an equipotential map of the ionosphere of the earth (thanks NASA!). From the data presented sketch the E field and determine the magnitude and direction of the E field at C and D. Be careful not to confuse the edge of the earth with an equipotential. Based on the data which source charge is larger and why? Which charge is (+) and which is (-)

Assignment Differentiation: Bb Assignment
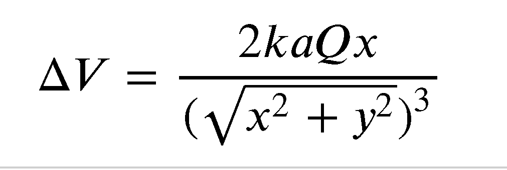
E Field from Dipole Potential:
The electric potential around a dipole consisting of two charges Q separated by a distance 2a is given by the following expression:

where the axis of the dipole is along the y axis. x and y are measured from the center of the dipole. Find a symbolic expression from which you could calculate the x and y components of the E field anywhere along the bisector of the dipole. Be careful, don't choose any specific values until after you have differentiated. While many of you haven't had vector calc you can still do the necessary differentiation if you just remember that while you take the derivative with respect to x, y is a constant and vica versa. Have fun -- its a derivative problem not an integral one!
Looking Ahead:Look ahead to the next Breadcrumb: Circuit Concepts
Assignment Breadcrumb Reading: Bb Test
Conservation of Current:
When current flows through a circuit there are various ideas that we have about what happens when that current enters and exits from a light bulb. If 0.5 Amps of current enter a light bulb how much current exits the light bulb?
