Spring Potential Energy:
It turns out that springs (at least ideal physics ones) have the same property as gravity. The amount of energy that the spring force removes or adds to an object only depends on how stretched it was at the begining and how stretched it is at the end. Because the spring force is not constant we have to determine the work done by the spring force using integration. The result of that process is...
ΔWFs = -0.5k(xf2 - x02)
which of course means that
ΔPEFs = 0.5k(xf2 - x02)

and the spring bar on the bar chart has height...
PEs = 0.5kx2
remembering, of course, that x is NOT the length but rather the stretch of the spring. You will notice that because x is squared that it doesn't matter whether the spring is being stretched or compressed.
Sample Problems:
Set up problem with energy bar charts. Consider the differences with and without friction.

[pdf solution here]
Here's a more challenging problem to think about setting up. Start by assuming the belt is not moving.

[pdf solution here]
HW: PE Applications
Revisiting a problem from the previous HW set. Imagine that you placed a spring at the bottom of the loop facing the incoming vehicle. Give the mass of the 'vehicle' is 15 kg, the spring constant for the ideal spring is 1200 N/m, and the height of the starting point is 2.5 m. How far will the spring be compressed before the vehicle is brought to a stop?
Arizona Meteor Crater:
Activity: We will go back and forth into groups to address different parts of this problem.
A great example of what we can do with energy methods that would be much more difficult by other means is to seek to estimate the size of the meteor that crashed into northern Arizona. In case you haven't seen it here is the wiki page for the National Landmark.
Lets start with some basic ideas. Most meteors are headed for the sun and we more or less run into them as we travel along our orbit. A very typical velocity for a meteor as it enters the atmosphere is 15 km/s. Some fraction of the mass of the meteor is ablated (boiled off) as it passes through the atmosphere and it's hard to estimate that. Often is roughly half the original mass.
Build an energy bar chart that starts with the meteor entering the atmosphere and falling to earth until it hits. Consider whether a meteor speeds up or slows down as it falls to the earth? What happens other space objects? What is the form of the energy the meteor has when it hits the ground?
Build a separate energy bar chart that describes what happens as the meteor hits the ground. In the end, after the dust settles, all the initial energy of the meteor has gone somewhere. Where?
Some possibilities:
Turning a large volume of rock to rubble (see image below)
Throwing all that rock high enough in the air to spread it over a circle more than 10 km in diameter.
Once we have those charts agreed upon we can start sorting out what we can say about the transfer of energy in this complex and interesting problem.
Here is a cross section of the crater:

Turning a large volume of rock to rubble:
What is the volume of that rock?
How high would you have to drop a block of sandstone from to turn it to gravel? Where did that energy come from?
Energy/cubic meter needed to 'rubblize' the rock?
Total energy needed to turn the volume to rubble?
Throwing all that rock high enough in the air to spread it over a circle more than 10 km in diameter.
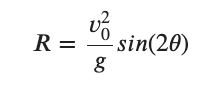
A resource we will probably need is the so called range equation for a projectile. The wiki page does a pretty good job with this discussion. This will give us a sense of how fast the pulverized sandstone was thrown out of the hole.

How fast would the rubble have to be going to send it 3 km at a minimum?
What is the mass of all that rock?
How much kinetic energy went to throwing rock all over the place?
How does our answer compared with the much more thorough analysis that leads to a projected size of 50 m diameter.
American Meteor Society
If you are interested in such things here is the link to the Fireball logs from the American Meteor Society. When folks observe a significant meteor trail (fireball) and report it a tentative trajectory is constructed from the reports and videos submitted. Some meteorite hunters use these trajectories to direct their searches for fragments from these meteors. Sometimes with success. The meteorites nearly always fragment into small individual bits that are sometimes found sitting on roads or in parking lots. They are rarely found sitting in vegetation for obvious reasons. Fireball trajectories that point toward sandy deserts more likely to yield meteorite finds. This has been the case in North Africa in the past.
HW: PE Applications
Turn in your energy analysis of the Arizona Meteor Crater including your predicted mass for the meteor. This analysis must include clear and annotated bar chart(s) indicating the different sources of energy added and removed from the system.
Assignment: HW: PE Applications
Turn in the various (2) homework problems in this breadcrumb. For these problems please be attentive to our problem solving format and guidelines for different styles of problems.
Assignment: Reading
For energy we took the perspective of forces acting over distances to generate the idea of energy. Now we move to another perspective which considers forces acting over time. This leads us to ideas about momentum and another conservation law. Read the Momentum breadcrumb.

