Dark Matter:
Let's get one thing cleared up right away -- dark matter has no explicit relationship to black holes although, to be truthful, black holes do fit the definition of dark matter:) Yikes!
Let's start with a particularly important insight that comes mostly from our study of galaxies. . Like most narratives that we are exploring this term it has to start with our understanding of what is close to us which we can observe most effectively and with the most confidence.
If I asked you why the planets go around the sun you know that the force due to gravity is the probably cause. Of course this raises the question of just what gravity is and that is an enourmous rabbit hole I'd rather not go down just now. We can be unclear about what gravity is and still be able to describe quite effectively how it operates.
Are you bothered by that statement?
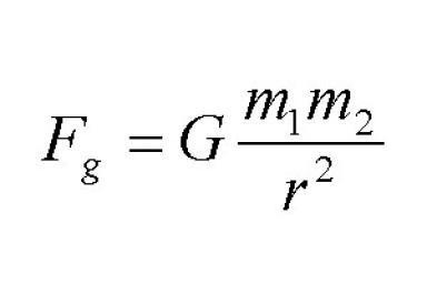
What sorts of tests do you imagine we have of our understanding of what gravity does? Falling rocks? Orbiting satellites? Tall buildings? Here's a statement of Newton's Law of Gravity for reference.

It's a pretty straightforward sort of law and if we know the distances and the masses we can figure it all out. So here's what happens if we try to predict how fast each of the planets should be moving and compare it to how fast they are observed to be moving...

Hopefully it makes you think we know what we're talking about. A core assumption in this pretty effective description is that almost all of the mass of the solar system is in the sun (check this with the solar system data site) All of the planets together are less that 0.1% of the mass in the solar system. One thing we know about the sun is that it is bright (insert Homer Simpson comment here) which reasonably leads us to imagine that when we look at a galaxy that most of the mass is made up of things that are bright.
Take a look at an image of a typical spiral galaxy like the Milky Way where we live.

This certainly suggests that not all of the mass of the galaxy is in the center like our solar system but we can figure out a more complicated model and predict how the different stars 'should' be moving. Figuring out how the stars are actually moving is a bit tricky but for some galaxies it's easier than others. Galaxies that we see edge on like this one make it easier.

What we would generally expect is that stars further from the core will be moving significantly slower than those near the core. This is much like the solar system but it isn't expected to drop as fast.
In PH213 we will explore the concept of Doppler Shift which allows us to look at the stars in this galaxy and determine how fast the are moving towards or away from us. Can you predict what you would expect from the solar system model?
Here is what we actually see for a particular galaxy (among many we have collected this data for)....

What is the problem with this data compared to what we expected? This same pattern holds true for all the galaxies that we have looked at. What do you expect that astronomers would do next?
....indeed, we can figure out what the distribution of mass would have to be to give the rotation curves that we see. The conclusion we are driven to is either Newton's Law doesn't work the same at the larger scales OR there is a whole bunch of stuff out there that we can't see. It's matter that is inconveniently dark -- which is why we call it dark matter. Here's how we sort out the models at this time....

It is important to note that there is a lot more dark matter than bright matter needed to explain the observations. What questions does this suggest to you?
