Unit Conversion:
I do understand that with smart phones and computers you can find an online converter for almost anything these days. The reason I want you to learn how to do unit conversion by hand and in stages is that it helps illuminate otherwise hidden features of the question or problem we're trying to resolve. I'm not really that interested the answer for it's own sake but rather the thinking process that gets us there.
An important driver for this discussion is the recognition that numbers by themselves tell us very little about the world. 7 is a lovely number but until we know whether we're talking 7 dollars or 7 free lunches or 7 M$ there's not a lot of meaning. Because different industries and researcher tend to use different units (language really) in their area we often need to be able to convert those quantities into something that allows us to make meaningful comparisons.
Because we are almost the last country in the world using 'English' units (not even the Brits use 'English' units!!!) we will use scientific units (metric) exclusively. This will take some getting used to but it is the only way to catch up with everyone else. What are metric units? [ s, m, km, kg]
The Process:
The basic idea in unit conversion is to take what you have and multiply it by 1. This leaves the original item unchanged. When you divide any two things which are equivalent you have a fraction which represents 1. 60 s/1 min = 1 because 60 s and 1 min are different ways of saying the same thing. If I want to find the number of minutes in 30 days I start by writing down my starting point and where I want to get....

At each step in the process we are just multiplying the previous values by 1 which leaves the meaning unchanged but expresses the quantity of interest in new units.
A Billion:
Billions and millions come up a lot in Astronomy. The age of the universe is roughly 13 billion years, our sun is 4.5 billion years old, and distances to other planets are in the millions to billions of meters. These numbers are so vast as to be almost meaningless to us as humans unless we can connect the idea to something which is a little more concrete for us. One starting point is to ask how many years is a billion seconds?
This showed up on the comics page just after this class one year. Gotta love it!
Activity: How many billions of seconds does an average person live?
HW: Unit Conversion
How many years is 1 million minutes?
Proportional Distances:
Another version of unit conversion that we will experience a lot in this class is when we want to express the distance to one object in terms of the distance to another object. As an example the distance from the sun to the earth is sometimes referred to as an AU (Astronomical Unit). How might we express the distance to Mars or Jupiter in AU's? This is helpful because the raw distances are such big numbers that it's hard to make sense of them. Knowing something is 2x or 3x as far away is much easier for us to visualize.
Relating different distances starts with having some known distances for comparison. Let's start with the circumference of the earth. You hopefully remember that the circumference of a circle is given by the mathematical expression C = 2 π r where π is roughly 3.14159 (which is why March 14th is called Pi Day - 3/14).
Of course to do this we need to know that the radius of the earth is 6371 km (6400 km is close enough). If you knew the width of the USA in km which is 4300 km we can now notice that the radius of the earth is pretty close to 1.5 (1 1/2x) times the width of the USA. Good to know! Next time you drive across the country you can imagine that you are only 2/3 of the way to the center of the earth.
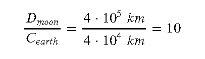
Putting all those numbers into the expression for the circumference we get 2 * 3.14159 * 6371 km = 40,030 km or 4 104 km if we write it in scientific notation. That's actually a nice round number - 40k km (using scientific prefixes oddly). As it turns out the average distance to the moon (from the center of the earth) is 4 105 km. Perhaps you can already see how this is going to turn out but here is how we set up the math.

.. and after a little algebra (cross multiply) we get
![]()
This helps keep things in proportion while giving us a conceptually reasonable way to think about it.
Activity: The distance to from the Sun to the Earth is 1.5 1011 m which is 1 AU. The distance from the Sun to Mars is 2.28 1011 m. How may AU's is it from the Sun to Mars?
HW: Unit Conversion: Proportional Distances
The path of a space ship going to Mars is roughly 3.78 1011 m long. What is this distance relative to the distance to the moon? What does this suggest about the difference between a manned mission to Mars and past manned missions to the Moon?
Distance, Veocity, and Time:
These three concepts are related to each other and we will often need to move smoothly among these units. Let's start with a version of this that we are often comfortable with. The basic relationship that we have learned is this"
Rate x Time = Distance
If we stop and look at the units for each term.....
miles/hr x hrs = miles
You'll notice that the hrs cancel and the units are the left are miles as are the units I want on the right. You do this calculation any time you're driving some where.
How far to I go if I drive 55 mph (on average) for 9 hrs?
Here is a slightly different question you also have done or wanted to do....
How long will it take me to drive 420 mi at 45 mph?
Rearranging the original expression we get
Time = Distance/Rate = miles/(miles/hr)
Make sure you can show that the units cancel and it leads to hours for the time. 9.33 hrs or 9 hrs 20 min if you do the math:)
Distances using Light:
Distances in the universe are so vast that we often use a unique unit based on the speed of light. We talk about these units as light-s, light-min, light-hr, and light-years. They are abbreviated ls, lm, lh, and ly respectively.
Activity: Light travels at an alarming speed (3.108 m/s). How far does light go in 1 s?... 1 min?
Assignment: HW Unit Conversion
How many light-s is it to the Sun which is 1.5.1011m from us? Light-min?
As you can already see a ly (light-year) is a stunningly great distance and yet the closest star to us besides the sun is a little over 4 ly away if you are thinking about typical stars.Yikes!
Assignment: HW Unit Conversion
Complete and assemble your solutions to all the HW problems listed here. Scan to a pdf and turn in on LMS. Please review HW format expectations for guidance about your homework solutions.
Reading Ahead:
Next time we will begin our explorations of light via the Light I breadcrumb. This is a huge topic which is at the foundation of almost every observation we have made in Astronomy.
