Galaxies: How They Changed Our View of the Universe
Of course its not quite that simple but a couple of the major changes in how we see ourselves in the universe came from some studies of the characteristics of galaxies. Dark Matter is something that you may have heard about and we became of aware of the possibility of dark matter through our studies of galaxies. Because of this whole dark matter discussion we also started looking more closely at the sorts of objects that inhabit our galaxy with us. This has also changed how we see how we fit into the universe. We'll start with the new data about our galaxy and then move to the topic of dark matter.
New Data About the Milky Way:
Here's an interesting exploration of some of the new data and new ways of visualizing the data about our own galaxy. As we watch this think about the style of communication and what questions it poses and leaves unanswered (not to forget that the actual audience seems likely to be quite young)
Thoughts that this provokes for you? What would you expect the effect of another star passing through our solar system to be? (...1.2 million years:))
Dark Matter:
Let's start with a particularly important insight that comes mostly from our study of galaxies. This is the story of dark matter. Like most narratives that we are exploring this term it has to start with our understanding of what is close to us which we can observe most effectively and with the most confidence.
If I asked you why the planets go around the sun I imagine that many of you will suggest gravity or the force due to gravity. Of course this raises the question of just what gravity is and that is an enourmous rabbit hole I'd rather not go down just now. We can be unclear about what gravity is and still be able to describe quite effectively how it operates.
Are you bothered by that statement?
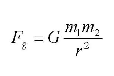
What sorts of tests do you imagine we have of our understanding of what gravity does? Falling rocks? Orbiting satellites? Tall buildings? Here's a statement of Newton's Law of Gravity for reference.

It's a pretty straightforward sort of law and if we know the distances and the masses we can figure it all out. So here's what happens if we try to predict how fast each of the planets should be moving and compare it to how fast they are observed to be moving...

Hopefully it makes you think that maybe we know what we're talking about. A core assumption in this pretty effective description is that almost all of the mass of the solar system is in the sun (check this with the solar system data site) All of the planets together are less that 0.1% of the mass in the solar system. One thing we know about the sun is that it is bright (insert Homer Simpson comment here) which reasonably leads us to imagine that when we look at a galaxy that most of the mass is made up of things that are bright. After all, that's the way it is here next to our star.
Take a look at an image of a typical spiral galaxy like the Milky Way where we live.

This certainly suggests that not all of the mass of the galaxy is in the center, like our solar system, but we can figure out a more complicated model and predict how the different stars 'should' be moving. Figuring out how the stars are actually moving is a bit tricky but for some galaxies it's easier than others. Galaxies that we see edge on like this one make it easier.

What we would generally expect is that stars further from the core will be moving significantly slower than those near the core. This is much like the solar system but it isn't expected to drop as fast because the stars are more distributed. Here is what we see for the Milky Way as we look at the speeds of the stars as we get further from the center of the galaxy.

What is the problem with this data compared to what we expected? This same pattern holds true for all the galaxies that we have looked at. What do you expect that astronomers would do next?
....indeed, we can figure out what the distribution of mass would have to be to give the rotation curves that we see. The conclusion we are driven to is either Newton's Law doesn't work the same at the larger scales OR there is a whole bunch of stuff out there that we can't see. It's matter that is inconveniently dark -- which is why we call it dark matter. Here's how we sort out the models at this time....

It is important to note that there is a lot more dark matter than bright matter needed to explain the observations. What questions does this suggest to you?
If there's so much of this dark matter stuff why doesn't it mess up our solar system rotation curve? -- we are so small on a galactic scale that the dark matter around us will be small and uniform so it won't affect the behavior of planets. -- cool but bothersome:)
HW: Dark Matter
Below is a map of a small slice of what we can see in the sky and all the galaxies in that direction. The distance scale is labeled in Mpc. A Parsec (pc) is a different unit of measure and for our purposes we can take 1 pc to be 3 light-years (ly). The Milky Way is 30-60 kpc in diameter. The Andromeda galaxy is 2.5 Mly away which is 0.8 Mpc. How big are some of the empty spaces where there seem to be no galaxies at all? Astronomers sometimes talk about a great wall of galaxies -- what feature in this picture seems like it might be that wall? How far away is it?

HW: Dark Matter
One of the possible ways to address the problem of the rotation speeds of stars in galaxies is to imagine that there is a subtle error in our understanding of gravity. Here is are predicted orbital speeds for our planets based on a number of different modification to the "Law of Gravity". The black circles are the actual orbital speeds of the planets. What do you think is an appropriate interpretation of this data? Which, if any, of the proposed extra gravity terms is consistent with the data?

HW: Dark Matter
Refer to the Galaxy Rotation Curve shown above which shows the average observed data (green line) for the speed of stars at some distance from the center of the galaxy. The blue line is what we would predict using our best current understanding of gravity AND the model that the mass of stars is connected to their brightness (H-R diagram eh?). How do you explain to someone who is curious about dark matter why this chart seems to require the existence of some matter (which makes gravity) which doesn't glow (is dark)?
Assignment: HW: Dark Matter
Complete and assemble your solutions to all (3) the HW problems listed here. Scan to a pdf and turn in on LMS. Please review HW format expectations for guidance about your homework solutions.
Reading Ahead:
Next time we will begin our explorations of the biggest questions of all with the Cosmology breadcrumb. Cosmology is the big question of how did we come to be here, where are we going, and perhaps why.
