Resources for Thermal Conductivity Lab:
Thermal Conductivity:
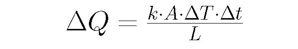
In this equation each of the terms have specific meanings and units that we will need to have an understanding of as we explore heat loss from houses and other "containers".
ΔQ is the heat that flows out of the container. This is usually in units of Joules (J) which we know how to convert to kWh.
k is the coefficient of thermal conductivity or just the thermal conductivity. It is in units of J/s-m-C or W/m-C. This is a "magic" number that we need to look up for various materials of interest to us. If you google "thermal conductivity table" you can find various lists of useful materials. You will also note that in the tables there is often a K in the denominator of the units. This stands for Kelvin which is another temperature scale used in science. The important thing for us is that a temperature change of 1 K is the same as 1 C. A way of thinking of this is the size of a degree is the same it's just where 0 is that differs.
A is the area (usually in m2) that the heat travels through to get from the hot place to the cold place. Sometimes this is complicated because the area on the inside is different than the area on the outside. For our purposes the difference is not so important but do notice that it is a source of confusion. For a window A is the area of the window.
ΔT is the difference (not the change) between the temperature of the hot place that provides the heat and the temperature of the cold place where the heat is going. This is often written as ΔT = Thot-Tcold and is usually in units of degrees C or K.
Δt is the elapsed time during which the heat moves and is normally measured in seconds (s).
L is the distance the heat has to travel from the hot place to the cold place(in m usually). In our houses this is the thickness of the wall or window although it is not always what we would call a thickness.
U values and R values:
If you are a homeowner you may have already worried about insulating your home. In this country we tend to classify insulation by it's thermal resistance which we call R (in terrifying British units that involve BTU's). Big R values are good because it means the heat has difficulty getting out.
In the rest of the world they tend to use thermal transmittance (the inverse of resistance) which is called U and has units of W/m2-C. A good way of thinking about this is that U = k/L in our original equation. Small U values are good since they mean only a little heat is transmitted. If you are using U values your thermal conductivity equation looks like the following:


